如何理解高增益和高速度是矛盾的?(1)(图文教)
整理:蜜之砒霜
时间:2025-12-04
阅读:6
如何理解高增益和高速度是矛盾的?(图文教程):经常听说要想获得较高的增益,则速度肯定替补上去,要想得到高速度,则增益一定不会很高,为什么呢?如何理解呢?
工具/原料
PC
电路图
操作方法
1
2
3
4
5
6
我们以简单的CS放大器为例,来说明高增益和高速度之间的一对矛盾
2先来考虑低频增益AV0
3我们以NMOS和pmos都处于强反型饱和区为例,则gm的表达式如下
4强反型饱和区的电流IDS为下式子
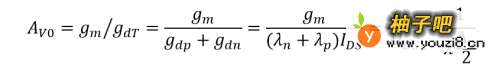
5所以就很容易推导出在强反型饱和的低频增益AV0
6要是AV0增大的话,则需过驱动电压减小,则IDS就会减小,这个静态电流减小的话,则给负载电容CL充放电的动态电流也不会很大,这样充放电时间就会很长,所以速度很慢,这就是高增益和高速度的矛盾所在。
同类经验分享
- 谷歌拼音输入法怎么敲出特殊符号11-26
- 狗狗耳朵清洁护理有什么方法?11-26
- 钉钉如何设置允许非好友查看我的企业认证信息?11-19
- 如何更好地处理婆媳矛盾11-19
- 萌妆的打造方法11-19
- 家具设计之客厅电视柜家具手绘举例11-17
- 汽车美容知识全攻略11-26
- 小孩很不听话怎么办?11-17
- 微信6.6怎么关闭搜一搜07-27
- 怎么做美人鱼手工制作11-26
站内热点
- 谷歌拼音输入法怎么敲出特殊符号11-26
- 狗狗耳朵清洁护理有什么方法?11-26
- 钉钉如何设置允许非好友查看我的企业认证信息?11-19
- 如何更好地处理婆媳矛盾11-19
- 萌妆的打造方法11-19
- 家具设计之客厅电视柜家具手绘举例11-17
- 汽车美容知识全攻略11-26
- 小孩很不听话怎么办?11-17
- 微信6.6怎么关闭搜一搜07-27
- 怎么做美人鱼手工制作11-26
近期更新
- 售楼部装修建议12-04
- 怎么追/接近喜欢的人12-04
- 【反沙荔浦芋头】教程12-04
- 怎样追一个女孩子?12-04
- 洋葱猪肉包如何做12-04
- 与日本女生谈恋爱12-04
- 包菜回锅肉的家常做法12-04
- 大学里如何去追自己喜欢的女孩子12-04
- 如何在群聊中搭上话(受人欢迎)12-04
- 合作伙伴平时很好但是酒后总是耽误事情该怎么办12-04
- 酱豆角香肠面的做法12-04
- 家常菜的做法大全之清炒有机花菜12-04